Other Parts Discussed in Thread: LMK00301
Thread 中讨论的其他器件:LMK00301
工具/软件:
尊敬的先生或女士:
发生正转换
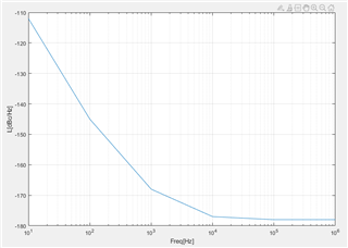
我使用50欧姆源100 MHz 正弦信号驱动 CLKin0引脚。 我放置在 R30 50 Ω 和 C10 100nF 上。 我移除了100 Ω R24。 CLKin0*端接50 Ω。 R28和 R22是100nF 电容器。 所以输入是交流耦合的。
输出:
我测量 CLKouA0 (配置了 LVPECL)上的 SE、测量50欧姆端接 PN 仪器上信号的绝对相位噪声。 CLKoutA0*在 SMA 连接器上端接50欧姆。 在 SMA 连接器之前、输出会通过160欧姆+交流耦合超过100nF 下拉至 GND (默认评估板配置)
相位噪声达到 APP。 -120dBc/Hz 白色(意外损坏)。 输出没有50%的占空比。 输入是-170dBc/Hz 源。
好的,我可以想象,通过差分驱动输入,并使用两个输出在一个比较块上进行测量,它会有所帮助。 但即使这(假设增益为12dB、可能为20dB)也无法达到预期的 <-160dBc/Hz 本底噪声。
有什么想法我做错了?
好极了。


