主题中讨论的其他器件: LM5116
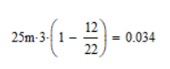
我们使用了25m Ω 电阻器作为分流电阻器、根据数据表中的值、在触发逐周期限值或下拉 SS 电容器和 UVLO 电压以实现截止之前、该电阻器的典型值为110mV 或最大值为126mV。 (至少这是我们解释的内容。 如果我错了,请纠正我)( 25m Ω 和3A 应该给一个75mV 的压降在正确的感觉?)
在测试过程中、我们观察到该截止值无效。 请参考下图:

您可以看到它的输出负载约为3A、如果您在左侧的万用表上观察、可发现分流器的值为133.1mV (根据欧姆定律、计算结果应该显示为右转75mV?)。 如果我的解释正确、那么不应该在发生这种情况时将 SS 引脚拉至 GND、并且仅在256个周期后且不存在故障时恢复? 此外、我观察到分流电阻器上的压降随输入电压而变化。
在上述条件下连接感测电阻的示波器数据:

如有必要、我可以在聊天中分享板和原理图文件以供查看。
这项工作已经由 Eric Lee。
请仔细研究这一问题、
谢谢。此致、
诺尔



,VIN=22V,VOUT =12V,IOUT=3A,Rs=25m Ω 



